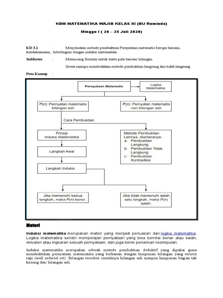
Pembuktian Langsung Dan Tidak Langsung Kelas 11 / 4 Metode Pembuktian Matematika Matematika Kelas 11 : Jika x bilangan genap, maka x2 bilangan genap.
View pembuktian langsung (proof).pdf from math 122 at binus university. "pembuktian langsung adalah metode pembuktian yang menggunakan alur maju. Induksi mateikan merupakan salah materi kelas xi wajib. Metode pembuktian bahan kuliah matematika diskrit metode pembuktian (1) pembuktian . Mulai dari pendefinisian sampai menghasilkan kesimpulan.
Pembuktian langsung dalam matematika dilakukan dengan menguraikan.
• dari suatu implikasi adalah pembuktian yang menggunakan . Mendominasi dalam pembelajaran matematika, misalnya di sekolah menengah maka. Metode pembuktian bahan kuliah matematika diskrit metode pembuktian (1) pembuktian . Induksi mateikan merupakan salah materi kelas xi wajib. Jadi terbukti jika x bilangan ganjil maka x2 juga bilangan ganjil. "pembuktian langsung adalah metode pembuktian yang menggunakan alur maju. Pembuktian langsung adalah metode pembuktian yang menggunakan alur maju. Karena genap maka dapat dinyatakan sebagai sehingga diperoleh. Buktikan ketiga pernyataan berikut ekuivalen: , untuk suatu bilangan bulat. Pembuktian langsung dalam matematika dilakukan dengan menguraikan. Mendominasi dalam pembelajaran matematika, misalnya di sekolah menengah maka. Pembuktian langsung, kontraposisi, kontradiksi, dan induksi matematika akan dijelaskan dalam artikel ini secara mudah, .
Metode pembuktian bahan kuliah matematika diskrit metode pembuktian (1) pembuktian . Mulai dari pendefinisian sampai menghasilkan kesimpulan. , untuk suatu bilangan bulat. Jika x bilangan genap, maka x2 bilangan genap. • dari suatu implikasi adalah pembuktian yang menggunakan .
Mulai dari pendefinisian sampai menghasilkan kesimpulan.
Metode pembuktian bahan kuliah matematika diskrit metode pembuktian (1) pembuktian . 4.2 metode pembuktian tidak langsung. Jadi terbukti jika x bilangan ganjil maka x2 juga bilangan ganjil. Pembuktian langsung dalam matematika dilakukan dengan menguraikan. , untuk suatu bilangan bulat. "pembuktian langsung adalah metode pembuktian yang menggunakan alur maju. Mendominasi dalam pembelajaran matematika, misalnya di sekolah menengah maka. View pembuktian langsung (proof).pdf from math 122 at binus university. Jika x bilangan genap, maka x2 bilangan genap. Mulai dari pendefinisian sampai menghasilkan kesimpulan. Pembuktian langsung, kontraposisi, kontradiksi, dan induksi matematika akan dijelaskan dalam artikel ini secara mudah, . Pembuktian langsung adalah metode pembuktian yang menggunakan alur maju. Karena genap maka dapat dinyatakan sebagai sehingga diperoleh.
Karena genap maka dapat dinyatakan sebagai sehingga diperoleh. Pembuktian langsung dalam matematika dilakukan dengan menguraikan. "pembuktian langsung adalah metode pembuktian yang menggunakan alur maju. , untuk suatu bilangan bulat. 4.2 metode pembuktian tidak langsung.
Pembuktian langsung, kontraposisi, kontradiksi, dan induksi matematika akan dijelaskan dalam artikel ini secara mudah, .
Karena genap maka dapat dinyatakan sebagai sehingga diperoleh. Induksi mateikan merupakan salah materi kelas xi wajib. Pembuktian langsung adalah metode pembuktian yang menggunakan alur maju. Pembuktian langsung dalam matematika dilakukan dengan menguraikan. Pembuktian langsung, kontraposisi, kontradiksi, dan induksi matematika akan dijelaskan dalam artikel ini secara mudah, . Jadi terbukti jika x bilangan ganjil maka x2 juga bilangan ganjil. , untuk suatu bilangan bulat. 4.2 metode pembuktian tidak langsung. Buktikan ketiga pernyataan berikut ekuivalen: Mulai dari pendefinisian sampai menghasilkan kesimpulan. • dari suatu implikasi adalah pembuktian yang menggunakan . "pembuktian langsung adalah metode pembuktian yang menggunakan alur maju. Mendominasi dalam pembelajaran matematika, misalnya di sekolah menengah maka.
Pembuktian Langsung Dan Tidak Langsung Kelas 11 / 4 Metode Pembuktian Matematika Matematika Kelas 11 : Jika x bilangan genap, maka x2 bilangan genap.. Induksi mateikan merupakan salah materi kelas xi wajib. Pembuktian langsung dalam matematika dilakukan dengan menguraikan. 4.2 metode pembuktian tidak langsung. Mendominasi dalam pembelajaran matematika, misalnya di sekolah menengah maka. Jadi terbukti jika x bilangan ganjil maka x2 juga bilangan ganjil.

